تفاعل كيميائي

A thermite reaction using iron(III) oxide. The sparks flying outwards are globules of molten iron trailing smoke in their wake.
Video demonstrating a chemical reaction.

التفاعلات الكيميائية هي عبارة عن تكسير روابط في المواد المتفاعلة لإنتاج روابط جديدة في المواد الناتجة مما يؤدي إلى تكوين عناصر جديدة مختلفة في صفاتها الكيميائية والفيزيائية معاً .

والتفاعلات الكيميائية تشمل تغير ترتيب الذرات في الجزيئات الكيميائية ،و في مثل هذا التفاعل نشهد اتحاد بعض الجزيئات بطرق أخرى لتكوين شكل من مركب اكبر او اعقد ، او تفكك المركبات لتكوين جزيئات أصغر، أو إعادة ترتيب الذرات في المركب . والتفاعلات الكيميائية تشمل عادة تكسر او تكوين روابط كيميائية.

ويميز التفاعل الكيميائي نظام تحول ترموديناميكي يتبادل الطاقة مع الوسط الخارجي، ويكون لهذه الطاقة أشكال متعددة كالحرارة والعمل والطاقة الكهربائية والطاقة الإلكترونية، ويشكل هذا التبادل الحراري جزءاً من علم التحريك الحراري (الترموديناميك). قد يكون التفاعل ناشراً أو ماصاً للحرارة وهناك تفاعلات لاتنشر ولا تمتص حرارة.

يتحول المزيج الكيميائي في التفاعل الكيميائي من مواد داخلة في التفاعل إلى نواتج، ويمكن أن تختفي في المزيج الكيميائي أحد المواد الداخلة في التفاعل وهذا هو التفاعل التام، كما هي الحال في الكثير من تفاعلات الاحتراق.

2011-1.jpg

ويتوقف التفاعل الكيميائي وتبقى بعض المواد الداخلة في التفاعل في حالات أخرى وهذا هو التفاعل غير التام الذي يصل إلى حالة التوازن.

2011-2.jpg

يحدث التوازن الكيميائي في محلول حمض الخل عندما يتشرد (يتأين) جزء صغير منه، وتكون درجة التفكك صغيرة، ويظل القسم الأعظم من جزيئات حمض الخل غير متفكك.

يختلف زمن التفاعل الكيميائي من بدء التفاعل حتى نهايته (بحسب شروط الحرارة والضغط والحفاز)، وهذا ما يعبر عنه بسرعة التفاعل وتكون هذه السرعة كبيرة جداً في بعض الحالات فيبدو التفاعل آنياً كما في الانفجار، ويجب لفهم التفاعل معرفة طبيعة المواد الداخلة ونسبها في التفاعل والنواتج كما في المعادلة الآتية:

2011-3.jpg

تعبر المعادلة السابقة عن تساوي الطرفين وتعطي فكرة عن التحولات الظاهرية macroscopic ولا تعطي معلومات عن آلية التفاعلات. تظهر آلية التفاعل عند انفصال الذرات أو الشوارد أو اجتماعها.

التاريخ

Antoine Lavoisier developed the theory of combustion as a chemical reaction with oxygen

أنماط التفاعلات

يمكن تصنيف التفاعلات الكيميائية بطرق مختلفة تعتمد على ناحية معينة من نواحي التفاعل يتم التقسيم على أساسها ، أو على أساس الفرع الكيميائي الذي تندرج ضمنه . بعض الأمثلة للمصطلحات المستخدمة لوصف الأنواع الشائعة من التفاعلات :

  • تزامر Isomerisation ، و فيه يخضع المركب الكيميائي لإعادة ترتيب بنيوية بدون تغيير في تركيبه الذري : انظر تزامر فراغي stereoisomerism .
  • اتحاد مباشر Combination reaction أو اصطناع و فيه يتم انماج مركبين كيميائين او أكثر ليشكلا مركبا كيميائيا واحدا معقدا .
2H2 (g) + O2 (g) → 2H2O (l)
  • تفكك كيميائي : أو تحليل : و فيه يتم تفكيك المركب الكيميائي إلى مركبات أصغر أو عناصر كيميائية :
2H2O (l) → 2H2 (g) + O2(g)
  • تفاعل استبدال أحادي Single displacement reaction : و فيه يتم استبدال عنصر من مركب كيميائي بعنصر آخر أكثر [[سلاسل الفعالية|فعاليةٍٍ .
2Na(cr) + 2HCl (aq) → 2NaCl (aq) + H2 (g)
  • تفاعل إستبدال ثنائي Double displacement reaction أو استبدال مقترن coupling substitution ، و فيه يقوم مركبين كيميائيين في محلول مائي (عادة يكونان بشكل شاردي) بتبادل عناصر أو أيونات من مركبات مختلفة .
NaCl (aq) + AgNO3 (aq) → NaNO3 (aq) + AgCl (s)
  • احتراق Combustion : و فيه تقوم مادة قابلة للاحتراق بالاتحاد مع عنصر مؤكسد لينتجا حرارة و مركب مؤكسد (بفتح السين)
C10H8 (g) + 12O2 (g) → 10CO2 (g) + 4H2O (l)
CH2S + 6 F2CF4 + 2 HF + SF6 + حرارة

بعض فروع الكيمياء تعتبر أي تغيرات ضئيلة في التشكيل الكيميائي chemical conformation بمثابة نوع من انواع التفاعل ، في حين يعتبره آخرون مجرد تغير فيزيائي .

التفاعلات المعقدة

Ferrocene – an iron atom sandwiched between two C5H5 ligands

التفاعلات الأحماض

Precipitation

Precipitation

التفاعلات الحالة الصلبة

التفاعلات الكيميائية الضوئية

In this Paterno–Büchi reaction, a photoexcited carbonyl group is added to an unexcited olefin, yielding an oxetane.

أنواع أخرى :

  • تفاعلات التعديل acid-base reaction: وهي التفاعلات الأساسية والحمضية وتشمل تحركات البروتون أو الثنائية الإلكترونية، فالحموض تتفاعل مع الأسس لتعطي ملحاً وماءً والمثال النموذجي هو تفاعل تعديل حمض كلور الماء مع هيدوكسيد الصوديوم:

2011-5

ويكون الماء هو النتيجة النهائية لتفاعل الحموض والأسس مع بعضها في المحلول، يتشكل الماء عندما تنضم شوارد الهدروجين إلى شوارد الهدروكسيل.

  • تفاعلات التبلمر polymerization: يدعى تفاعل ارتباط جزيئين لتشكيل جزيء جديد تفاعل التبلمر ويتم هذا الارتباط بوجود الخفاز. والمثال النموذجي تبلمر الأستلين الذي يعطي فينيل أستلين المركب المهم في تحضير الإيزوبرين isoproene والبوتاديين butadiene المركبات المستعملة في صناعة المطاط.

وتفاعل التبلمر يدعى تفاعل ارتباط الجزيئات الصغيرة المتماثلة monomer الذي يؤدي إلى تشكيل جزيئات ضخمة، ذات وزن جزيئي مرتفع، ولا يختلف محتواها العنصري عن تركيب الجزيئة الصغيرة تفاعل التبلمر. والمرحلة الأساسية فيها المبادرة ثم نمو السلسلة وأخيراً توقف النمو باختفاء الجزيئة الفعالة في التفاعل. ومن التفاعلات الأخرى تفاعل التكاثف. بين الجزيئات المشبعة الحاوية على زمر وظيفية ويترافق التكاثف بحذف جزيئة ماء. إضافة إلى تفاعلات التكسير والاصطناع والاستبدال والإضافة والحذف.[1]

وتترافق بانتقال إلكترون أو أكثر من ذرة عنصر إلى ذرات عنصر آخر لتشكيل مركبات جديدة. وتُعرّف الأكسدة بفقدان الإلكترون ويعرف الإرجاع باكتساب الإلكترون وتتم عمليتا الأكسدة والإرجاع في وقت واحد، ومثال ذلك:

2011-4.jpg

إذ تشير الأرقام إلى تكافؤ المعدنين Mn وFe.

Illustration of a redox reaction
The two parts of a redox reaction

يمكن تصنيف التفاعلات أيضا حسب تكافؤية العناصر التي تدخل في آليتها :

المعادلات

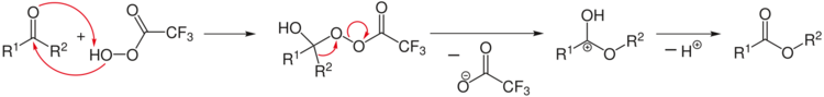
An example of organic reaction: oxidation of ketones to esters with a peroxycarboxylic acid

Elementary reactions

Isomerization of azobenzene, induced by light (hν) or heat (Δ)

التوازن الكيميائي

الديناميكا الحرارية

الحركية

Catalysis

Schematic potential energy diagram showing the effect of a catalyst in an endothermic chemical reaction. The presence of a catalyst opens a different reaction pathway (in red) with a lower activation energy. The final result and the overall thermodynamics are the same.
Solid heterogeneous catalysts are plated on meshes in ceramic catalytic converters in order to maximize their surface area. This exhaust converter is from a Peugeot 106 S2 1100

التفاعلات في الكيمياء العضوية

الإستبدال

Mechanism of electrophilic aromatic substitution

Addition and elimination

E2 elimination
Electrophilic addition of hydrogen bromide
Acid-catalyzed addition-elimination mechanism

آليات أخرى للتفاعلات العضوية

The Cope rearrangement of 3-methyl-1,5-hexadiene

التفاعلات الكيميائية الحيوية

Illustration of the induced fit model of enzyme activity

التطبيقات

Thermite reaction proceeding in railway welding. Shortly after this, the liquid iron flows into the mould around the rail gap

المراقبة

انظر أيضا

المصادر

  1. ^ هيفاء العظمة. "التفاعل الكيميائي". الموسوعة العربية.

روابط خارجية

قائمة المراجع

  • Atkins, Peter W. and Julio de Paula Physical Chemistry, 4th Edition, Wiley-VCH, Weinheim 2006, ISBN 978-3-527-31546-8
  • Brock, William H. Viewegs Geschichte der Chemie. Vieweg, Braunschweig 1997, ISBN 3-540-67033-5.
  • Brückner, Reinhard Reaktionsmechanismen. 3rd ed., Spektrum Akademischer Verlag, München 2004, ISBN 3-8274-1579-9
  • Wiberg, Egon, Wiberg, Nils and Holleman, Arnold Frederick Inorganic chemistry, Academic Press, 2001 ISBN 0-12-352651-5
الكلمات الدالة: