تأثير هول
| كهرومغناطيسية | ||||||||||
كهرباء • مغناطيسية
| ||||||||||
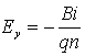
تأثير هول Hall effect مصطلح يطلق على ظاهرة تغير الحقل الكهربائي داخل المادة نتيجة لتأثير حقل التحريض induction المغنطيسي فيها. ذلك لأن تطبيق حقل كهربائي على مادة ناقلة (موصلة) أو نصف ناقلة يؤدي إلى مرور تيار كهربائي فيها كثافته . فإذا طُبق على المادة، إضافة إلى ذلك، حقلٌ مغنطيسي ظهر فيها حقل كهربائي ثانٍ عمودي على كل من و يرتبط معهما بالعلاقة.
ما بين القوسين هو جداء متجهي vectorial والحرف الذي تعلوه الإشارة (→) هو متجه vector. ويكون: Ey=R.B.J إذا كان عمودياً على . وتدعى R ثابتة هول، وهي المميِّز الأساسي لأثر هول. وتصف العلاقة السابقة أثر هول في النواقل المتماثلة المناحي isotrop الموضوعة في حقل مغنطيسي ضعيف، أما في الحالات الأخرى فتكون الأمور أكثر تعقيداً. وقد اكتشف هذا الأثر الفيزيائي الأميركي إدوين هربرت هول Edwin Herbert Hall عام 1879.
تعريف
تأثير هول هو تأثير اكتشفه وبحثه الفيزيائي الأمريكي إدوين هول هو ميل حاملات الشحنة سواء كانت موجبة أو سالبة للانزياح نحو الأطراف في أشباه الموصلات بسبب المجال المغناطيسي المطبق أو المتعرض له. ينشأ عن ذلك فرق جهد (يسمى جهد هول) بين الأقطاب المتعاكسة في شبه الموصل الكهربائي تعتمد قطبيته على إشارة هذه الحاملات, هذه القوة التي تحرف التيار عن مساره تسمى قوة لورنتز.
إذا وضع موصل في مجال مغناطيسي عمودياً على اتجاه التيار الكهربي فإن مجالاً كهربياً وفرق جهد سوف يتولد ويسمى فرق الجهد المتولد بجهد هول و يعطى بالعلاقة: وتستند أبسط نظرية مجهرية microscopic لأثر هول إلى فكرة حوامل الشحنات الحرة التي يمكن أن تكون إما سالبة الشحنة الكهربائية (إلكترونات) أو موجبة الشحنة الكهربائية (ثقوباً holes، يكافئ كل ثقب فيها شحنة موجبة ناتجة عن غياب إلكترون واحد)، فإذا افترض وجود أحد هذين النوعين فقط في الناقل، وليكن الإلكترونات، فإن كثافة التيار المار فيه بتطبيق الحقل الكهربائي Ex بين طرفيه هي:J=qvn (2)
حيث: «-q» هي شحنة الإلكترون، و«v» سرعته في منحى الحقل، أما «n» فهو تركيز الإلكترونات، أي عددها في واحدة الحجم، ويعبَّر عن السرعة «v» بدلالة ما يسمى حركية mobility الإلكترونات µ بوساطة العلاقة:
ويؤدي تطبيق الحقل المغنطيسي إلى تأثير قوة مغنطيسية (قوة لورِنْتس Lorentz) في هذه الإلكترونات في المنحى العمودي على كل من :
وتحرف هذه القوة الإلكترونات وفق المحور Y فتشحن الوجه هـ و ز ح، من الصفيحة التي يمر فيها التيار،سلباً (الشكل – 1)، مما يؤدي إلى نشوء شحنات معاكسة (موجبة) على الوجه المقابل أ ب ج د، فيظهر حقل كهربائي Ey بين هذين الوجهين يؤثر في الإلكترونات بالقوة:
وهي قوة تعاكس القوة f وسرعان ما يؤدي تراكم الشحنات على الوجهين المتقابلين إلى تزايد القوة التي ما تلبث أن تعادل القوة فتصبح محصلة القوتين المؤثرتين على الإلكترونات وفق المحور y معدومة، مما يجعل حركتها تعود موازية للحقل Ex كما كانت قبل تطبيق B.
وتستعمل لقياس أثر هول عادة، صفيحة مستوية يكون طولها l كبيراً مقارنة بعرضها a وثخنها b. فإذا مرَّ في الصفيحة تيار كهربائي شدته I = j.a.b وفق المنحى x، وطُبِّق حقل مغنطيسي عمودي على وجه الصفيح الكبير ظهر حقل هول وفق المنحى y، ويقاس عندئذ التوتر (tension) UH بين الوجهين الضيقين (أ ب ج د) و(هـ و ز ح)، فيُرى أنه يساوي ويدعى توتر هول.
ثابتة هول
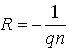
يؤدي تعادل القوتين في العلاقتين (4) و(5) إلى Ey= vB، فإذا أُخذت العلاقة (2) بالحسبان كان:
ولدى مقارنة العلاقة (6) بالعلاقة (1) ينتج أن ثابتة هول R هي:
وبما أن تركيز الإلكترونات يبلغ في المعادن قرابة 10 22 إلكتروناً في السنتمتر المكعب، في حين أنه في أنصاف النواقل من رتبة 10 16، فإن ثابتة هول في أنصاف النواقل أكبر كثيراً منها في المعادن. ويُفتَرض في الحساب المبسَّط السابق أن للإلكترونات الحرة كلها الطاقة الحركية ذاتها، في حين أنها تكون في الواقع موزعة وفق قانون إحصائي. وهذا ما يؤدي إلى كتابة ثابتة هول على النحو حيث يعادل d على معامل انتثار diffusion يتعلق بطبيعة المادة.
زوايا هول: تُستخدم أحياناً لوصف أثر هول زاوية هول θ ، وهي الزاوية بين الحقل الكهربائي المحصِّل (الشكل –2)
أثر هول في أنصاف النواقل
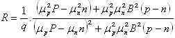
حين يتم النقل الكهربائي بوساطة نوعي حوامل الشحنات (الإلكترونات والثقوب) يصبح أثر هول أكثر تعقيداً، فإذا رُمز بالحرفين n وp لتركيز الإلكترونات والثقوب على الترتيب، ورُمز لحركيَّتيهما بـ و ، كانت ثابتة هول معطاة بالعلاقة:
مما يبين أن R هنا تتعلق بالحقل B. أما الحالة التي يكون فها الحقل B ضعيفاً، فتكون R مستقلة عملياً عنه وتساوي:
انظر أيضاً
المصادر
قراءات اخرى
- Classical Hall effect in scanning gate experiments: A. Baumgartner et al., Phys. Rev. B 74, 165426 (2006), doi:10.1103/PhysRevB.74.165426
وصلات خارجية
- حالات
- U.S. Patent 1٬778٬796, P. H. Craig, System and apparatus employing the Hall effect
- عامة
- Interactive Java tutorial on the Hall Effect National High Magnetic Field Laboratory
- Science World (wolfram.com) article.
- "The Hall Effect". nist.gov.
- Hall, Edwin, "On a New Action of the Magnet on Electric Currents". American Journal of Mathematics vol 2 1879.
- Spin Hall Effect Detected at Room Temperature
- Hall Effect Sensing and Application. Honeywell documentation on hall effect sensing, interfacing and applications.
- Table with Hall coefficients of different elements at room temparature.



