أراميد
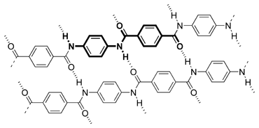
الأراميد Aramid ألياف صناعية مشابهة للنايلون ، غير أنها أقوى من الفولاذ. وكما هو الحال في ألياف النيلون يصنع الأراميد من مركبات كيميائية تسمى الأميدات. وترتبط الأميدات بحلقات أروماتية (حلقات من ست ذرات كربون،
مع ثلاث روابط كيميائية مزدوجة بين الذرات)، لتكون جزيئات تشبه السلسلة تسمى البوليمرات. ولكن بخلاف الأميدات في النايلون، يتم ربط 85% على الأقل من الأميدات في الأراميدات مباشرة باثنتين من الحلقات الأروماتية.
ويؤدي هذا الترتيب إلى نسيج أكثر قوة وأكثر مقاومة للحرارة من النايلون.
وتستخدم الأراميدات في مختلف المنتجات بما في ذلك الإطارات، والمظلات، والأشرطة المقوية والصدرات الواقية من الرصاص. كما تستخدم أيضًًا كمادة تقوية في بدن السفن وهياكل الطائرات.
تصنع الأراميدات تحت الاسم التجاري كيفلر ونوميكس.
انظر أيضا
Para-aramid
Meta-aramid
أخرى
مصادر وملاحظات
- الموسوعة المعرفية الشاملة
- JWS Hearle (2000). "High-performance fibers". Woodhead Publishing Ltd., Abington, UK - The Textile Institute (ISBN 1855735393).
- Doetze J. Sikkema (2002). "Manmade fibers one hundred years: Polymers and polymer design". J Appl Polym Sci, John Wiley & Sons, Inc. (83): 484–488.
This article contains content from Wikimedia licensed under CC BY-SA 4.0. Please comply with the license terms.
