حد تشاندرسيخار
حد تشاندراسيخار Chandrasekhar limit هو حد أقصى وضعه العالم الفلكي الفيزيائي الأمريكي الهندى الأصل تشاندراسيخار .
التعريف
من خلال حسابات في معادلات تركيب المادة يكون فيه قزم أبيض أثقل ما يمكن أن يكون وتبلغ كتلته 1,4 قدر كتلة الشمس.
أما إذا تجاوزت كتلة القزم الأبيض حد تشاندراسيخارأى أكبر من 1,4 كتلة الشمس فأن جاذبيته الشديدة تحوله اما الى نجم نيوتروني أو الى ثقب أسود .
وعلى هذا فالنجم الذى تتراوح كتلته بين ,4 الى اثنين او ثلاثة أضعاف كتلة الشمس يتحول الى نجم نيوتروني وإذا زادت كتلة النجم عن ثلاثة اضعاف كتلة الشمس فيتحول الى ثقب أسود.
القيزياء
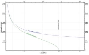
Radius-mass relations for a model white dwarf. The green curve uses the general pressure law for an ideal Fermi gas, while the blue curve is for a non-relativistic ideal Fermi gas. The black line marks the ultra-relativistic limit.
التاريخ
تطبيقات
المصادر
- مؤمن, عبد الأمير (2006). قاموس دار العلم الفلكي. بيروت، لبنان: دار العلم للملايين.
{{cite book}}: Cite has empty unknown parameter:|طبعة أولى coauthors=(help)
قراءات إضافية
- On Stars, Their Evolution and Their Stability, Nobel Prize lecture, Subrahmanyan Chandrasekhar, December 8, 1983.
- White dwarf stars and the Chandrasekhar limit, Masters' thesis, Dave Gentile, DePaul University, 1995.
- Estimating Stellar Parameters from Energy Equipartition, sciencebits.com. Discusses how to find mass-radius relations and mass limits for white dwarfs using simple energy arguments.
انظر أيضا
This article contains content from Wikimedia licensed under CC BY-SA 4.0. Please comply with the license terms.