توزيع هندسي

Geometric
Probability mass function
Geometric pmf.svg
Cumulative distribution function
Geometric cdf.svg
المتغيرات success probability (real) success probability (real)
Support
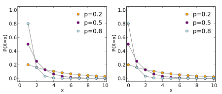
Probability mass function (pmf)
Cumulative distribution function (cdf)
Mean
Median (not unique if is an integer) (not unique if is an integer)
Mode
Variance
Skewness
Excess kurtosis
Entropy
Moment-generating function (mgf) ,
for
Characteristic function

التوزيع الهندسي Geometric distribution وهو جزء من التوزيع الاحتمالي الغير متعلق بمحاولات برنولي Bernoulli trials. ويستخدم التوزيع الهندسي كم عدد المحاولات التي نحتاجها للحصول على النتيجة المطلوبة

مثال ليكن لدينا نرد متجانس (1,2,3,4,5,6,) كم عدد المحاولات (n) التي نحتاجها للحصول على الرقم 6 الحل :

الاحتمال الصحيح P = 1/6

الاحتمالات الخاطئة q=1-P = 5/6


العزوم والتراكمات

The expected value of a geometrically distributed random variable X is 1/p and the variance is (1 − p)/p2:

Similarly, the expected value of the geometrically distributed random variable Y is (1 − p)/p, and its variance is (1 − p)/p2:

Let μ = (1 − p)/p be the expected value of Y. Then the cumulants of the probability distribution of Y satisfy the recursion

Outline of proof: That the expected value is (1 − p)/p can be shown in the following way. Let Y be as above. Then

(The interchange of summation and differentiation is justified by the fact that convergent power series converge uniformly on compact subsets of the set of points where they converge.)


خواص أخرى

توزيعات ذات صلة

  • The geometric distribution Y is a special case of the negative binomial distribution, with r = 1. More generally, if Y1, ..., Yr are independent geometrically distributed variables with parameter p, then the sum
follows a negative binomial distribution with parameters r and '1-'p.
  • If Y1, ..., Yr are independent geometrically distributed variables (with possibly different success parameters pm), then their minimum
is also geometrically distributed, with parameter
  • Suppose 0 < r < 1, and for k = 1, 2, 3, ... the random variable Xk has a Poisson distribution with expected value r k/k. Then
has a geometric distribution taking values in the set {0, 1, 2, ...}, with expected value r/(1 − r).
  • The exponential distribution is the continuous analogue of the geometric distribution. If X is an exponentially distributed random variable with parameter λ, then
where is the floor (or greatest integer) function, is a geometrically distributed random variable with parameter p = 1 − eλ (thus λ = −ln(1 − p)[1]) and taking values in the set {0, 1, 2, ...}. This can be used to generate geometrically distributed pseudorandom numbers by first generating exponentially distributed pseudorandom numbers from a uniform pseudorandom number generator: then is geometrically distributed with parameter , if is uniformly distributed in [0,1].

انظر أيضاً

الهامش

وصلات خارجية

قالب:Common univariate probability distributions