معامل الاضمحلال
الامتصاص الضوئي هو تحوّل من شكل الطاقة الكهرمغنطيسية إلى أشكال أخرى للطاقة. ويعبّر عن مقدرة وسط ما على الامتصاص بمعامل ( وهو ثابت التناسب بين الشدة الضوئية الضائعة dI والطول الذي اجتازه الضوء dx والشدة الضوئية I (الطاقة التي تعبر واحدة المساحة خلال واحدة الزمن بصورة عمودية على المساحة) فنكتب: وتشير الإشارة السالبة إلى التناقص وبالمكاملة نجد:
يعتمد عامل الامتصاص ß بصورة رئيسة على طول موجة الضوء وقد يعبّر عن الامتصاص أحياناً بمقلوب معامل الامتصاص الذي يسمى طول (عمق) الاختراق penetration (depth) length ويرمز له عادة بالحرف L وأحياناً أخرى بطول الانطفاء الذي يساوي 4.6L إذ يقابل هذا الطول إذا ما اجتازه الضوء نقصاناً نسبياً في الشدة لتصبح مساوية واحد بالمئة من الشدة الأصلية. يتضافر هذا العامل مع عامل آخر فيسبب نقصاناً في الشدة وفق الاتجاه المدروس فهو لا يمثل تغيراً في شكل الطاقة وإنما تغيراً في منحاها وابتعادها عن الاتجاهات المحدّدة بقانوني الانعكاس والانكسار ويسمى عامل الانتثار َß وهو يسلك سلوك ß في الحالة العامة ويسمى مجموعهما عامل التوهين attenuation أو التخامد γ فيحل هذا العامل محل b في العلاقة السابقة أي َγ=ß+ß. تصنف الأوساط المادية المختلفة وفق هذا العامل في صنفين رئيسين وضمن المجال المرئي من الأطوال الموجية: أوساط شفافة وأوساط عاتمة. يكون عامل التوهين في الأولى ضعيفاً كما في الزجاج العادي الذي يقدر طول انطفائه ببضع عشرات السنتمتر ويمكن إذا ما أخضع لتنقية عالية أن يصبح بضع عشرات الكيلو متر كما في حالة الألياف الضوئية. أما عامل توهين الصنف الثاني فلا يتعدى بضعة أجزاء الملمتر كما في حالة المعادن، (راجع الأثر السطحي). تعزى أسباب الامتصاص على المستوى الذري أو الجزيئي إلى حدوث تجاوبات تقابل انتقالات إلكترونية من سوية إلى أخرى أو انتقالات بين سويات اهتزازية ودورانية لجزيئات الوسط أو سلوك مشترك للإلكترونات أو للذرات المترابطة المكوّنة للوسط. أما أسباب التبعثر وكذلك بعض أسباب الامتصاص فتكون نتيجة وجود شوائب وفقاعات في الأجسام الصلبة، وغالباً ما تظهر شوائب معينة امتصاصاً عند مجال محدّد من طول الموجة فيكون الامتصاص انتقائياً فإضافة بضعة أجزاء في المئة من أكسيد الحديد يعطي الزجاج اللون الأخضر الغامق وتعطيه إضافة نسبة مقاربة من أكسيد النيكل اللون الأصفر، وتستخدم مثل هذه الخواص في الترشيح الضوئي[ر]. وقد يحدث بالنسبة لبعض المواد كالفُسْفور أن تمتص طاقة ذات طول موجي معين ثم تعود لتصدرها بطول موجي مختلف، تألق الوسط. ونذكر أن العين البشرية غير قادرة على التحليل الطيفي لكنها تميز تدرج الألوان واللمعان المرتبطين بالشدة، فيختلف عامل امتصاص الخلايا العصوية عن عامل امتصاص المخاريط اختلافاً واضحاً فتكون نهايات الامتصاص العظمى لها متباينة.
التعريفات والصيغ
The measured intensity of transmitted through a layer of material with thickness is related to the incident intensity according to the inverse exponential power law that is usually referred to as قانون بير-لامبير:
where denotes the path length. The attenuation coefficient (or linear attenuation coefficient) is .
The Half Value Layer (HVL) signifies the thickness of a material required to reduce the intensity of the emergent radiation to half its incident magnitude. It is from these equations that engineers decide how much protection is needed for "safety" from potentially harmful radiation. The attenuation factor of a material is obtained by the ratio of the emergent and incident radiation intensities .
The linear attenuation coefficient and mass attenuation coefficient are related such that the mass attenuation coefficient is simply , where is the density in g/cm3. When this coefficient is used in the Beer-Lambert law, then "mass thickness" (defined as the mass per unit area) replaces the product of length times density.
The linear attenuation coefficient is also inversely related to mean free path. Moreover, it is very closely related to the absorption cross section.
الاضمحلال مقابل الامتصاص
القدرة المبددة
تبدد الضوء dispersion هو تفريق الضوء إلى مركباته اللونية، وتعد تجربة إسحاق نيوتن التي استعمل فيها موشوراً ليبيِّن أن ضوء الشمس هو ضوء مركب من عدة ألوان، أولى تجارب التبدد التي فرقت الضوء إلى مركباته. تسمى مركبات ضوء ما بطيفه spectrum. ويسمى العلم الذي يعالج دراسة الأطياف علم الأطياف spectroscopy. كما يدعى الجهاز المستخدم لدراسة الأطياف بالمطياف spectroscope. يمثل علم الأطياف فرعاً واسعاً من العلوم الفيزيائية أسهم إسهاماً فعالاً في فهم ما يحدث في باطن الشمس والنجوم اعتماداً على فهم أطياف الذرات والجزيئات على الأرض. وما زالت المواشير تستخدم في العديد من أجهزة التحليل الطيفي رغم وجود أدوات تفريق أفضل اليوم مثل شبكة الانعراج. ويعتمد اختيار الجهاز على مقدرة الفصل المطلوبة للتطبيق.[1]
قد لا تؤثر الإضافات تأثيراً كبيراً على عامل الامتصاص لكنها قد تؤثر تأثيراً ملحوظاً في قرينة الانكسار مغيرة قيمتها وكان للزجاج الحظ الأوفى لهذه الدراسات بغية صنع مواشير ذات تبديد عالٍ فصنع منه عدة أنواع وعرفت القدرة المبدّدة W للتمييز بينها بالعلاقة:
حيث تشير الأدلة F,D,C إلى أطوال موجية محدّدة يدعوها البعض خطوط فراونهوفر ويظهر الجدول قيم هذه الأطوال الموجية إضافة إلى قيم قرائن انكسار أنواع مختلفة من الزجاج والقدرة المبدّدة لكل منها وقد أضيف للجدول مادتا البنزين والماء للمقارنة:
| خطوط فراونهوفر | C | D | F | القدرة المبددة |
| الطول الموجي مقدراً بالنانومتر | 656.3 | 589.0 | 486.2 | W |
| الزجاج التاجي (Ca+++K++Na+) |
1.414 | 1.517 | 1.524 | 0.0193 |
| زجاج الفلنت (الصخري) (Pb+++k++Na+) |
1.622 | 1.627 | 1.639 | 0.0271 |
| البنزين | 1.497 | 1.503 | 1.514 | 0.0338 |
| الماء | 1.332 | 1.334 | 1.338 | 0.018 |
ويلاحظ أن جميع هذه المواد ذات تبدد طبيعي فقرينة انكسارها تنقص مع ازدياد الطول الموجي ويعبر عن هذا أحياناً بعلاقة كوشي Cauchy التجريبية:
يفسّر في الواقع حدوث قوس القزح نتيجة ارتداد (انعكاس) ضوء الشمس عن قطرات الماء المعلقة في الهواء بعد أن يعاني انكسارين أو أكثر عند السطح الفاصل بين الماء والهواء، فاختلاف قرينة الانكسار باختلاف الطول الموجي هو الذي يفرق ضوء الشمس إلى مركباته المتدرجة من البنفسجي حتى الأحمر.
قرينة الانكسار
قرينة انكسار وسط معيّن n هي نسبة سرعة الضوء في الخلاء إلى سرعته في هذا الوسط. وتختلف سرعة انتشار كل مركبة من مركبات الضوء ذات الطول الموجي λ عن غيرها لذلك يضاف دليل إلى قرينة الانكسار فتكتب nλ. فإذا ما ورد شعاع ضوئي بزاوية معينة على سطح فاصل بين وسطين انكسر هذا الشعاع بزاوية تحددها قرينة الانكسار لكل من الوسطين بحيث تكون نسبة جيبي الزاويتين، زاوية الورود وزاوية الانكسار، كمقلوب نسبة قرينتي الانكسار، لذلك وبسبب اختلاف القرينة اختلافاً طفيفاً من لون إلى آخر تظهر عدة أشعة مفرقة بألوان مختلفة.
إن تبدد الضوء نتيجة من نتائج تفاعل الضوء مع المادة. ويحدث لجميع الأمواج الكهرمغنطيسية عموماً لكن مقداره يختلف باختلاف موقع الطول الموجي من الطيف الكهرمغنطيسي مقارنة بطول مميز للمادة، مثل المسافة بين الذرات أو موقع تواتر المركبة الكهرمغنطيسية مقارنة بتواتر مميز للمادة، مثل تواتر اهتزاز جزيئات المادة الخاص بها. إن تغير قرينة الانكسار dnλ ومن ثم تغير سرعة انتشار مركبة ذات لون محدد بـ l مع تغير التواتر (التردد) الزاوي dw أي النسبة ليس كبيراً وقد تكون موجبة فيسمى التبدد عندئذ تبدداً عادياً وقد تكون سالبة فيسمى التبدد عندها تبدداً شاذاً، وغالباً ما يحدث التبدد الشاذ بجوار تواتر يكون عنده الامتصاص absorption شديداً. ويعد الامتصاص نتيجة أخرى من نتائج تفاعل الضوء مع المادة وستظهر علاقة التبدد بالامتصاص عند النظر في هذا التفاعل على المستوى الذري أو الجزيئي.
استقطابية المادة وعلاقتها بتبدد الضوء
حين تسقط موجة كهرمغنطيسية أو ضوء على مادة ما فإنها تحرِّض اهتزازات الجسيمات المشحونة فيها وخاصة إلكترونات الذرات والأيونات المكوِّنة للجزيئات فتصدر بدورها أمواجاً ثانوية مبعثرة في جميع الاتجاهات. تتراكب هذه الأمواج مع الموجة الأصلية لتعطي موجة محصِّلة تظهر بسرعة انتشار مختلفة عن قيمتها في الخلاء، ويظهر هذا جلياً عند السطح الفاصل بين الخلاء والمادة، في حين لاتتغير سرعة انتشار الضوء ولا اتجاهه حين يسير في وسط مادي متجانس. إن الحقل الكهربائي والحقل المغنطيسي المعبّرين عن أثر الموجة الكهرمغنطيسية في الوسط وتغيراتهما مع الزمن محكومان بمعادلة الانتشار لكل منهما اللتان تستنتجان مما يعرف بمعادلات مكسويل. تظهر علاقة سرعة الانتشار بخواص الوسط المادي الكهربائية ممثلة بالعازلية الكهربائيةε dielectric constant والسماحية المغنطيسية μ magnetic permitivity على الشكل: وفيها c سرعة الضوء في الخلاء. ولما كانت (للأوساط الشفافة قريبة من الواحد نرى أن قرينة الانكسار مرتبطة بالعازلية الكهربائية وفق العلاقة: بصورة أولية؛ وستظهر علاقة التبديد والامتصاص بدراستها على المستوى الذري. فقد عُرّفت ε في البدء في حالة حقول كهربائية ساكنة ثم عدّلت لتشمل حالة حقول كهربائية مهتزة، كما في حالة الضوء، فظهر جزءان لها الأول حقيقي يمثل تغير سرعة الانتشار والآخر تخيلي يمثل الامتصاص.
إن الذرات والجزيئات المكونة للمادة ليست صلدة تماماً لا يمكن تغيير الأبعاد فيما بينها أو بين إلكترونات الذرة ونواتها، ومن ثم حين تطبيق حقول كهربائية ساكنة (لا تتغير مع الزمن) على مجموعة شحنتين مثل إلكترون شحنته سالبة ونواة شحنتها موجبة ستنزاح الشحنة السالبة في اتجاه معاكس لانزياح الشحنة الموجبة عند تطبيق الحقل، ومن ثم نقول إن مركزي الشحنتين قد انزاحا عن بعضهما، بعد أن كانا متطابقين في البدء، وكوّنا ما يعرف بثنائي القطب الكهربائي المتحرض ويمثل بمتجهة تبدأ من مركز الشحنة الموجبة وتنتهي عند مركز الشحنة السالبة، ويكون البعد بين المركزين صغيراً بالمقارنة مع الأبعاد التجريبية. وقد يوجد أحياناً ثنائيات قطب في تركيب المادة كأن تكون مكوّنة من أقطاب موجبة وأقطاب سالبة مرتبة كما في حالة بعض الجزيئات فيكون تأثير تطبيق الحقل الكهربائي محاولة جعل ثنائي القطب مصطفاً باتجاه الحقل المطبق وفي كلتا الحالتين يظهر تأثير ثنائيات القطب المجاورة لثنائي قطب مدروس على شكل حقل إضافي يسمى شعاع الاستقطاب لواحدة الحجم، فإذا ما أضيف إلى الحقل المطبق حصلنا على حقل التحريض الكهربائي الإجمالي و ثابتة تتعلق بالوحدات المستخدمة.
وغالباً ما يكون p متناسباً مع الحقل المطبق على الصورة: ′α= فتدعى′α استقطابية المادة وتظهر علاقتها بالعازلية الكهربائية وفق التالي:
يتمثل تأثير الوسط إذن بكتابة ε مكان εo المقابلة في الخلاء وتقاس العازلية الكهربائية عادة بقياس تغير سعة capacitance مكثفة كهربائية نتيجة وضع الوسط المادي بين لبوسيها مكان الخلاء، فيظهر ′α و ε كآثار جهرية تقاس مباشرة.
إن دراسة الحقول الكهربائية المهتزة (المتغيرة مع الزمن) وتأثيراتها من خلال قياس ε المقابلة أعقد من ذلك وبالتالي سيُنظر أولاً فيما يحدث على مستوى ثنائي قطب واحد سواء كان أيونين مختلفي الشحنة أو إلكترون سالب ونواة موجبة ونأخذ تأثير الجوار باستخدام الحقل الإجمالي المحلّي مما يمكّننا بعد ذلك الحصول على السلوك الجهري بضرب النتيجة بعدد الثنائيات في واحدة الحجم.
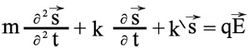
إذا ما أُزيح إلكترون كتلته m عن وضعه التوازني فسيخضع إلى قوة تحاول إرجاعه إلى الوضع التوازني وتكون متناسبة مع إزاحته s، فإذا رمزنا لثابت التناسب بـ ′k تكون هذه القوة مساوية وتتحدد هذه القوة بمعرفة المادة. عند دراسة تحريك الإلكترون نضيفها إلى القوة الكهربائية q حيث q شحنة الإلكترون ويمثل في هذه الحالة الحقل المحلّي بما فيه الحقل الناتج عن الجسيمات المجاورة. تقوم الذرات بصورة عامة بحركة اهتزازية ميكانيكية تتأثر بالقوى الكهربائية فيتحول جزء من الطاقة الكهربائية إلى طاقة ميكانيكية ويكون هذا ممثلاً بقوة متناسبة مع السرعة بما يشبه قوة الاحتكاك نكتبها على الصورة لتصير معادلة التحريك على الصورة:
فإذا طُبق حقل ثم رُفع تأثير الحقل تماماً. يكون الطرف الأيمن من المعادلة معدوماً. وإذا افترض عدم وجود قوة احتكاك مبددّة أي أن الحد الثاني من المعادلة معدوم أيضاً عندئذ يكون حل المعادلة من الشكل:
حيث الذي يعرف بالتواتر الزاوي الخاص للإلكترون، فهو يحوي خاصة من خواص الجسيم المدروس m وخاصة من خواص المادة ′k .
أما إذا طبقنا حقلاً كهربائياً مهتزاً بتواتر زاوي w أن نكتب في الطرف الأيمن . عندئذ، يمكن إيجاد حل للمعادلة من الشكل:
ملف:حل معادلة التحريك2.jpg
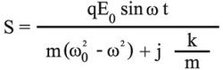
حيث φ ما يعرف بزاوية الطور، شريطة أن يحقق S العلاقة التالية:
يلاحظ حدوث التجاوب المقابل لقيم كبيرة جداً لـ S عندما w=wo. إن وجود الحد الثاني المقابل للاحتكاك يمنع وصول S إلى قيم لانهائية وعند إدخال هذا الحد نحصل على الحل العام التالي:
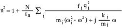
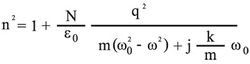
حيث j هو العدد التخيلي. يربط الآن بين السلوك الفردي على المستوى الذري مع السلوك الجهري macroscopic لنصل إلى ε ومنها إلى n. إن عزم ثنائي القطب هو qS والذي منه يمكن أن نعرف الاستقطابية الالكترونية ثم ما يقابل الاستقطابية α′=Nα حيث N العدد في واحدة الحجم فنجد أن:
يظهر من هذه العلاقة أن n2 هو عدد عقدي له جزءان الأول له علاقة بسرعة الانتشار والثاني تخيلي له علاقة بالامتصاص وذلك عند حساب الطاقة الضائعة أو المبدّدة. ويظهر الشكل 2 سلوك الجزء الحقيقي الذي يكون هو المقصود عادة بقرينة الانكسار الممثلة لتغير سرعة الانتشار في حالتين: عدم وجود امتصاص (الخط المتقطع) ومع وجود امتصاص (الخط المستمر) وذلك عندما يتغير التواتر الزاوي w للحقل المطبق، ويتركز السلوك الغريب بجوار التواتر w0 الذي يقابله في الجزء التخيلي قيمة عالية جداً أي امتصاص شديد.
ويتضح من هذا الشكل أن n2 وبالتالي n تزداد عند الاقتراب من يسار w0 مع ازدياد w تناقص حتى تكون w = w1 ويحدث الأمر ذاته بدءاً من w = w2 إلى ما لا نهاية. لكن الوضع مختلف ما بين التواترين w1 و w2 حيث تتناقص n مع تزايد w وهذا مايعرف بالتبدد الشاذ تمييزاً له عن الحالة الطبيعية الأولى. وبعيداً عن w0 ومع غياب الامتصاص يكون السلوك مشابهاً لعلاقة كوشي المذكورة سابقاً.
إن المعالجة السابقة نصف تقليدية لكنها تُظهر السِّمات الرئيسية إذ لا بد عند دراسة الذرات وإلكتروناتها أو الجزيئات من استخدام ميكانيكا الكم للوصول إلى خواصها المجهرية. بيد أن الدراسة وفق ميكانيك الكم تقود إلى علاقة مماثلة بين n و ε والتواتر w لكنها تدخل تواترات خاصة عديدة wi مكان التواتر الخاص المميز w0 ويشير الدليل i إلى عددها سواء في الذرة أو في الجزيئة وتقابل هذه التواترات انتقالات ممكنة بين مستويات طاقتها، كما يدخل لكل انتقال شدة اهتزازية fi تقابل احتمال حدوث هذا الانتقال، فاحتمالات الانتقال بين سويات مختلفة ليست متساوية ويكون للجسيم المدروس كتلة mi وشحنته qi، وبالتالي فإن الانتقالات والتجاوبات المقابلة تصبح عديدة تختلف باختلاف الجسيم وبالتالي ما يتبعه من استقطابية فلدينا استقطابية إلكترونية في الحالة المدرروسة والاستقطابية الأيونية في حالة دراستنا للأيونات وغالباً ما تكون التواترات التجاوبية المقابلة متباعدة. وتعمم العلاقة لتصبح:
وإن ما يهمنا من هذه التواترات التواترات الواقعة في المجال المرئي لإنها تؤثر تأثيراً كبيراً على سلوك هذه المواد على ضوئها، وقد تكون متقاربة فيتغير شكل المنحني تغيرات يمكن أن توصف بتراكب سلوك مجموعة من المنحنيات المشابهة.
يظهر في بعض البلورات اتجاهات استقطاب ذاتية تقابل اصطفاف الأيونات أو الجزيئات المكونة لها، التي تمثل ثنائيات أقطاب دائمة، في اتجاه مفضل عندئذ يختلف سلوك الضوء من حيث اتجاه سرعة الانتشار وقيمتها باختلاف اتجاه استقطاب هذا الضوء أي باختلاف متجهة حقله الكهربائي بالنسبة لهذا الاتجاه المفضل الذي يدعى المحور الضوئي، فيختلف تبعاً لذلك عامل الامتصاص وقرينة الانكسار باختلاف الاتجاه.
يشار أخيراً إلى أن الدراسة السابقة قد ركّزت على إلكترون أو أيون مرتبط، وبالتالي وجود قوة تحاول إعادته، غير أنه يمكن الحديث عن مجموعة من الشحنات السالبة مرتبطة ارتباطاً جماعياً بأيونات موجبة شبه ثابتة في مواقعها كما في حالة المعادن فهناك إلكترونات شبه حرة تستجيب للحقل الكهربائي استجابة جماعية كالأمواج وتعامل العينة ككل معاملة جزيئة كبيرة ينزاح مركز شحناتها السالب عن مركز شحناتها الموجب ويظهر تواتر مميز لهذه الحركة يتعلق بعدد الشحنات في واحدة الحجم N وكتلتها العطالية m* ضمن المعدن التي تختلف عادة عن كتلتها في الخلاء يدعى هذا بتواتر البلازما wp المعطى بالعلاقة:
ويختلف سلوك المعدن عند تغير تواتر الضوء المتفاعل معه اختلافاً واضحاً تبعاً لكون تواتر الضوء أعلى أو أخفض من هذا التواتر. وهناك بعض أنصاف النواقل التي تحتوي شحنات حرة بتراكيز مناسبة لتظهر تأثيراتها على الضوء الساقط عليها ويمكن أن تكون الشحنات الحرة فيها موجبة الإشارة أو سالبة اصطلاحياً.
وحدات النظام العالمي لقياس الإشعاع
| الكمية | الوحدة | الأبعاد | ملاحظات | |||||
|---|---|---|---|---|---|---|---|---|
| الاسم | الرمز[nb 1] | الاسم | الرمز | الرمز | ||||
| طاقة إشعاعية | Qe[nb 2] | جول | J | M⋅L2⋅T−2 | طاقة الإشعاع الكهرومغناطيسي. | |||
| كثافة الطاقة الإشعاعية | we | joule per cubic metre | J/m3 | M⋅L−1⋅T−2 | الطاقة الإشعاعية لكل وحدة حجم. | |||
| التدفق الإشعاعي | Φe[nb 2] | واط | W = J/s | M⋅L2⋅T−3 | Radiant energy emitted, reflected, transmitted or received, per unit time. This is sometimes also called "radiant power". | |||
| تدفق طيفي | Φe,ν[nb 3] | واط لكل هرتس | W/Hz | M⋅L2⋅T−2 | Radiant flux per unit frequency or wavelength. The latter is commonly measured in W⋅nm−1. | |||
| Φe,λ[nb 4] | واط للمتر | W/m | M⋅L⋅T−3 | |||||
| الشدة الإشعاعية | Ie,Ω[nb 5] | watt per steradian | W/sr | M⋅L2⋅T−3 | Radiant flux emitted, reflected, transmitted or received, per unit solid angle. This is a directional quantity. | |||
| الشدة الطيفية | Ie,Ω,ν[nb 3] | watt per steradian per hertz | W⋅sr−1⋅Hz−1 | M⋅L2⋅T−2 | Radiant intensity per unit frequency or wavelength. The latter is commonly measured in W⋅sr−1⋅nm−1. This is a directional quantity. | |||
| Ie,Ω,λ[nb 4] | watt per steradian per metre | W⋅sr−1⋅m−1 | M⋅L⋅T−3 | |||||
| إشعاعية | Le,Ω[nb 5] | watt per steradian per square metre | W⋅sr−1⋅m−2 | M⋅T−3 | Radiant flux emitted, reflected, transmitted or received by a surface, per unit solid angle per unit projected area. This is a directional quantity. This is sometimes also confusingly called "intensity". | |||
| الإشعاعية الطيفية | Le,Ω,ν[nb 3] | watt per steradian per square metre per hertz | W⋅sr−1⋅m−2⋅Hz−1 | M⋅T−2 | Radiance of a surface per unit frequency or wavelength. The latter is commonly measured in W⋅sr−1⋅m−2⋅nm−1. This is a directional quantity. This is sometimes also confusingly called "spectral intensity". | |||
| Le,Ω,λ[nb 4] | watt per steradian per square metre, per metre | W⋅sr−1⋅m−3 | M⋅L−1⋅T−3 | |||||
| التشعيع كثافة التدفق |
Ee[nb 2] | واط للمتر المربع | W/m2 | M⋅T−3 | Radiant flux received by a surface per unit area. This is sometimes also confusingly called "intensity". | |||
| التشعيع الطيفي كثافة التدفق الطيفي |
Ee,ν[nb 3] | watt per square metre per hertz | W⋅m−2⋅Hz−1 | M⋅T−2 | Irradiance of a surface per unit frequency or wavelength. This is sometimes also confusingly called "spectral intensity". Non-SI units of spectral flux density include jansky (1 Jy = 10−26 W⋅m−2⋅Hz−1) and solar flux unit (1 sfu = 10−22 W⋅m−2⋅Hz−1 = 104 Jy). | |||
| Ee,λ[nb 4] | watt per square metre, per metre | W/m³ | M⋅L−1⋅T−3 | |||||
| كثافة التدفق الإشعاعي Radiosity |
Je[nb 2] | watt per square metre | W/m² | M⋅T−3 | Radiant flux leaving (emitted, reflected and transmitted by) a surface per unit area. This is sometimes also confusingly called "intensity". | |||
| كثافة التدفق الطيفي Spectral Radiosity |
Je,ν[nb 3] | watt per square metre per hertz | W⋅m−2⋅Hz−1 | M⋅T−2 | Radiosity of a surface per unit frequency or wavelength. The latter is commonly measured in W⋅m−2⋅nm−1. This is sometimes also confusingly called "spectral intensity". | |||
| Je,λ[nb 4] | watt per square metre, per metre | W/m³ | M⋅L−1⋅T−3 | |||||
| Radiant exitance | Me[nb 2] | watt per square metre | W/m2 | M⋅T−3 | Radiant flux emitted by a surface per unit area. This is the emitted component of radiosity. "Radiant emittance" is an old term for this quantity. This is sometimes also confusingly called "intensity". | |||
| Spectral exitance | Me,ν[nb 3] | watt per square metre per hertz | W⋅m−2⋅Hz−1 | M⋅T−2 | Radiant exitance of a surface per unit frequency or wavelength. The latter is commonly measured in W⋅m−2⋅nm−1. "Spectral emittance" is an old term for this quantity. This is sometimes also confusingly called "spectral intensity". | |||
| Me,λ[nb 4] | watt per square metre, per metre | W/m3 | M⋅L−1⋅T−3 | |||||
| Radiant exposure | He | joule per square metre | J/m2 | M⋅T−2 | Radiant energy received by a surface per unit area, or equivalently irradiance of a surface integrated over time of irradiation. This is sometimes also called "radiant fluence". | |||
| Spectral exposure | He,ν[nb 3] | joule per square metre per hertz | J⋅m−2⋅Hz−1 | M⋅T−1 | Radiant exposure of a surface per unit frequency or wavelength. The latter is commonly measured in J⋅m−2⋅nm−1. This is sometimes also called "spectral fluence". | |||
| He,λ[nb 4] | joule per square metre, per metre | J/m³ | M⋅L−1⋅T−2 | |||||
| Hemispherical emissivity | ε | N/A | 1 | Radiant exitance of a surface, divided by that of a black body at the same temperature as that surface. | ||||
| Spectral hemispherical emissivity | εν or ελ |
N/A | 1 | Spectral exitance of a surface, divided by that of a black body at the same temperature as that surface. | ||||
| Directional emissivity | εΩ | N/A | 1 | Radiance emitted by a surface, divided by that emitted by a black body at the same temperature as that surface. | ||||
| Spectral directional emissivity | εΩ,ν or εΩ,λ |
N/A | 1 | Spectral radiance emitted by a surface, divided by that of a black body at the same temperature as that surface. | ||||
| Hemispherical absorptance | A | N/A | 1 | Radiant flux absorbed by a surface, divided by that received by that surface. This should not be confused with "absorbance". | ||||
| Spectral hemispherical absorptance | Aν or Aλ |
N/A | 1 | Spectral flux absorbed by a surface, divided by that received by that surface. This should not be confused with "spectral absorbance". | ||||
| Directional absorptance | AΩ | N/A | 1 | Radiance absorbed by a surface, divided by the radiance incident onto that surface. This should not be confused with "absorbance". | ||||
| Spectral directional absorptance | AΩ,ν or AΩ,λ |
N/A | 1 | Spectral radiance absorbed by a surface, divided by the spectral radiance incident onto that surface. This should not be confused with "spectral absorbance". | ||||
| Hemispherical reflectance | R | N/A | 1 | Radiant flux reflected by a surface, divided by that received by that surface. | ||||
| Spectral hemispherical reflectance | Rν or Rλ |
N/A | 1 | Spectral flux reflected by a surface, divided by that received by that surface. | ||||
| Directional reflectance | RΩ | N/A | 1 | Radiance reflected by a surface, divided by that received by that surface. | ||||
| Spectral directional reflectance | RΩ,ν or RΩ,λ |
N/A | 1 | Spectral radiance reflected by a surface, divided by that received by that surface. | ||||
| Hemispherical transmittance | T | N/A | 1 | Radiant flux transmitted by a surface, divided by that received by that surface. | ||||
| Spectral hemispherical transmittance | Tν or Tλ |
N/A | 1 | Spectral flux transmitted by a surface, divided by that received by that surface. | ||||
| Directional transmittance | TΩ | N/A | 1 | Radiance transmitted by a surface, divided by that received by that surface. | ||||
| Spectral directional transmittance | TΩ,ν or TΩ,λ |
N/A | 1 | Spectral radiance transmitted by a surface, divided by that received by that surface. | ||||
| Hemispherical attenuation coefficient | μ | reciprocal metre | m−1 | L−1 | Radiant flux absorbed and scattered by a volume per unit length, divided by that received by that volume. | |||
| Spectral hemispherical attenuation coefficient | μν or μλ |
reciprocal metre | m−1 | L−1 | Spectral radiant flux absorbed and scattered by a volume per unit length, divided by that received by that volume. | |||
| Directional attenuation coefficient | μΩ | reciprocal metre | m−1 | L−1 | Radiance absorbed and scattered by a volume per unit length, divided by that received by that volume. | |||
| Spectral directional attenuation coefficient | μΩ,ν or μΩ,λ |
reciprocal metre | m−1 | L−1 | Spectral radiance absorbed and scattered by a volume per unit length, divided by that received by that volume. | |||
| See also: SI • Radiometry • Photometry | ||||||||
- ^ Standards organizations recommend that radiometric quantities should be denoted with suffix "e" (for "energetic") to avoid confusion with photometric or photon quantities.
- ^ أ ب ت ث ج رموز بديلة تُستخدَم أحياناً: W أو E للطاقة الإشعاعية، P أو F للتدفق الإشعاعي، I للتشعيع، W for radiant exitance.
- ^ أ ب ت ث ج ح خ Spectral quantities given per unit frequency are denoted with suffix "ν" (Greek)—not to be confused with suffix "v" (for "visual") indicating a photometric quantity.
- ^ أ ب ت ث ج ح خ Spectral quantities given per unit wavelength are denoted with suffix "λ" (Greek).
- ^ أ ب Directional quantities are denoted with suffix "Ω" (Greek).
انظر أيضاً
- Scattering theory
- Mean free path
- Scattering cross-section
- امتصاص (اشعاع كهرومغناطيسي)
- مقطع الامتصاص
- طيف الامتصاص
- قانون بير-لامبير
- حافة كومپتون
- Compton scattering
- ثابت الانتشار
- Transmittance
- اضمحلال
- طول الاضمحلال
- طول الاشعاع
- آشعة سينية عالية الطاقة
- Cargo scanning
- Grey Atmosphere
الهامش
- ^ فوزي عوض. "تبدُّد الضوء وامتصاصه". الموسوعة المعرفية الشاملة. Retrieved 2011-06-07.
وصلات خارجية
- Absorption Coefficients α of Building Materials and Finishes
- Sound Absorption Coefficients for Some Common Materials
- Computations for Radio Wave Propagation
- Tables of X-Ray Mass Attenuation Coefficients and Mass Energy-Absorption Coefficients from 1 keV to 20 MeV for Elements Z = 1 to 92 and 48 Additional Substances of Dosimetric Interest

