متوسط هندسي
ساهم بشكل رئيسي في تحرير هذا المقال
|
متوسط هندسي Geometric mean
هو أحد أشكال المتوسطات، ويستخدم بكثرة في دراسة المعدلات التي تميل إلى الزيادة بنسب ثابتة، كما يستخدم في دراسة السلاسل الزمنية القائمة على مقارنة معدل ما واختلافاته باختلاف الزمن.
حسابه
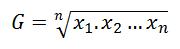
الوسط الهندسي هو عبارة عن الجذر من الرتبة n لنواتج ضرب المشاهدات ببعضها البعض، أي
ولتسهيل الحساب يمكننا أن نأخذ العلاققة بالشكل اللوغارتمي كمايلي:
أما عند إدخال التكرارات بالحساب تصبح العلاقة بالشكل:
أهمية المتوسط الهندسي
- قليل التأثر بالقيم الشاذة والمتطرفة.
- يشمل جميع قيم المتغير، مما يجعله من المقاييس التي تعبر بشكل جد عن كل البيانات.
استخدامات الوسط الهندسي
- في معدلات النمو والتطور، وجميع المعدلات التني تميل إلى التغير بنسب ثابتة.
- السلاسل الزمنية.
إقرأ أيضاً
- Arithmetic mean
- Arithmetic-geometric mean
- Average
- Generalized mean
- Geometric standard deviation
- Harmonic mean
- Heronian mean
- Hyperbolic coordinates
- Inequality of arithmetic and geometric means
- Log-normal distribution
- Muirhead's inequality
- Product
- Pythagorean means
- Quadratic mean
- Rate of return
- Weighted geometric mean
المصادر
- ^ Matt Friehauf, Mikaela Hertel, Juan Liu, and Stacey Luong "On Compass and Straightedge Constructions: Means" (PDF). UNIVERSITY of WASHINGTON, DEPARTMENTOF MATHEMATICS. 2013. Retrieved 14 June 2018.
- ^ David E. Joyce, ed. (2013). "Euclid, Book VI, Proposition 13". Clark University. Retrieved 19 July 2019.
روابط خارجية
- Calculation of the geometric mean of two numbers in comparison to the arithmetic solution
- Arithmetic and geometric means
- When to use the geometric mean
- Practical solutions for calculating geometric mean with different kinds of data
- Geometric Mean on MathWorld
- Geometric Meaning of the Geometric Mean
- Geometric Mean Calculator for larger data sets
This article contains content from Wikimedia licensed under CC BY-SA 4.0. Please comply with the license terms.